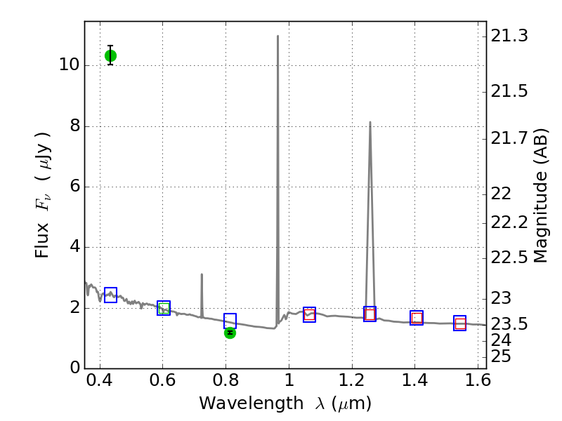
MACS0308+26 ACS+IR detection object #188

Color images and BPZ results
Catalog: 188.cat
Black segments are analyzed here.   Roll mouse over color images to view segments.
Best viewed in a wide browser window (1200 pixels or more).   Download SED & P(z) plots to view larger versions.
In P(z) plots: Yellow lines mark the cluster redshift z = 0.356,  

Object #188   x,y = (1026, 4348)   RA, Dec = (03:09:03.576, 26:47:33.00) = (47.26490, 26.79250)   BPZ = 1.592 [1.549--1.778]   type = 11.00 (SB11_A_0_l)   chisq2 = 525.10   ODDS = 0.93   z_cluster = 0.356