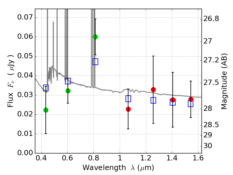
MACS0308+26 ACS+IR detection object #1369

Color images and BPZ results
Catalog: 1369.cat
Black segments are analyzed here.   Roll mouse over color images to view segments.
Best viewed in a wide browser window (1200 pixels or more).   Download SED & P(z) plots to view larger versions.
In P(z) plots: Yellow lines mark the cluster redshift z = 0.356,  

Object #1369   x,y = (2110, 3226)   RA, Dec = (03:08:58.728, 26:46:25.68) = (47.24470, 26.77380)   BPZ = 0.205 [0.100--4.047]   type = 11.00 (SB11_A_0_l)   chisq2 = 0.86   ODDS = 0.23   z_cluster = 0.356