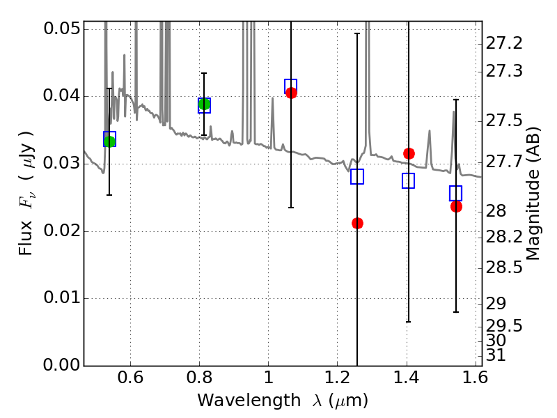
MACS0257-23 ACS+IR detection object #4740

Color images and BPZ results
Catalog: 4740.cat
Black segments are analyzed here.   Roll mouse over color images to view segments.
Best viewed in a wide browser window (1200 pixels or more).   Download SED & P(z) plots to view larger versions.
In P(z) plots: Yellow lines mark the cluster redshift z = 0.505,  

Object #4740   x,y = (2858, 1897)   RA, Dec = (02:57:09.816, -23:27:02.88) = (44.29090, -23.45080)   BPZ = 0.421 [0.113--3.871]   type = 10.80 (SB11_A_0_l - SB3_B10)   chisq2 = 0.02   ODDS = 0.13   z_cluster = 0.505