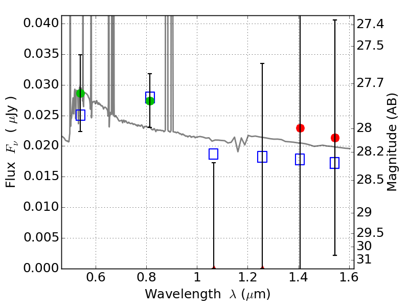
MACS0257-23 ACS+IR detection object #2917

Color images and BPZ results
Catalog: 2917.cat
Black segments are analyzed here.   Roll mouse over color images to view segments.
Best viewed in a wide browser window (1200 pixels or more).   Download SED & P(z) plots to view larger versions.
In P(z) plots: Yellow lines mark the cluster redshift z = 0.505,  

Object #2917   x,y = (2792, 2946)   RA, Dec = (02:57:10.104, -23:25:59.88) = (44.29210, -23.43330)   BPZ = 0.336 [0.123--3.651]   type = 11.00 (SB11_A_0_l)   chisq2 = 0.33   ODDS = 0.06   z_cluster = 0.505