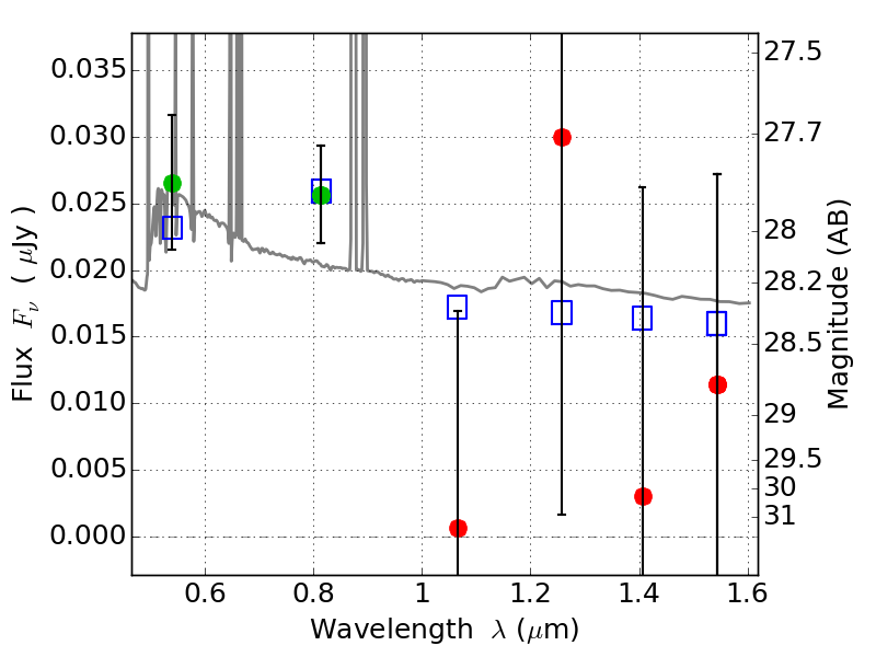
MACS0257-23 ACS+IR detection object #1749

Color images and BPZ results
Catalog: 1749.cat
Black segments are analyzed here.   Roll mouse over color images to view segments.
Best viewed in a wide browser window (1200 pixels or more).   Download SED & P(z) plots to view larger versions.
In P(z) plots: Yellow lines mark the cluster redshift z = 0.505,  

Object #1749   x,y = (2427, 3690)   RA, Dec = (02:57:11.712, -23:25:15.24) = (44.29880, -23.42090)   BPZ = 0.333 [0.087--3.659]   type = 11.00 (SB11_A_0_l)   chisq2 = 0.37   ODDS = 0.10   z_cluster = 0.505