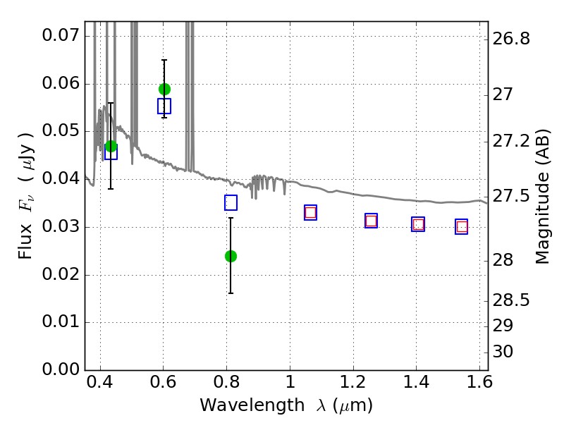
MACS0159-08 ACS+IR detection object #8400

Color images and BPZ results
Catalog: 8400.cat
Black segments are analyzed here.   Roll mouse over color images to view segments.
Best viewed in a wide browser window (1200 pixels or more).   Download SED & P(z) plots to view larger versions.
In P(z) plots: Yellow lines mark the cluster redshift z = 0.405,  

Object #8400   x,y = (2488, 558)   RA, Dec = (01:59:50.376, -8:52:15.24) = (29.95990, -8.87090)   BPZ = 0.035 [0.049--2.995]   type = 11.00 (SB11_A_0_l)   stellarity = 0.15   chisq2 = 1.90   ODDS = 0.03   z_cluster = 0.405