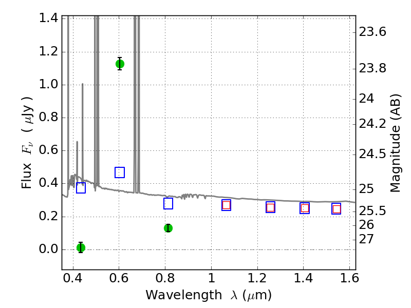
MACS0159-08 ACS+IR detection object #8047

Color images and BPZ results
Catalog: 8047.cat
Black segments are analyzed here.   Roll mouse over color images to view segments.
Best viewed in a wide browser window (1200 pixels or more).   Download SED & P(z) plots to view larger versions.
In P(z) plots: Yellow lines mark the cluster redshift z = 0.405,  

Object #8047   x,y = (3314, 780)   RA, Dec = (01:59:47.040, -8:52:01.92) = (29.94600, -8.86720)   BPZ = 0.016 [0.010--0.031]   type = 11.00 (SB11_A_0_l)   stellarity = 0.94   chisq2 = 275.20   ODDS = 1.00   z_cluster = 0.405