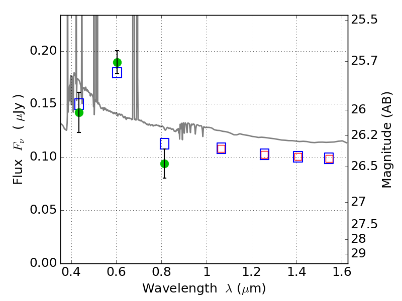
MACS0159-08 ACS+IR detection object #7230

Color images and BPZ results
Catalog: 7230.cat
Black segments are analyzed here.   Roll mouse over color images to view segments.
Best viewed in a wide browser window (1200 pixels or more).   Download SED & P(z) plots to view larger versions.
In P(z) plots: Yellow lines mark the cluster redshift z = 0.405,  

Object #7230   x,y = (3814, 1291)   RA, Dec = (01:59:45.000, -8:51:31.32) = (29.93750, -8.85870)   BPZ = 0.028 [0.011--2.871]   type = 11.00 (SB11_A_0_l)   stellarity = 0.94   chisq2 = 1.55   ODDS = 0.80   z_cluster = 0.405