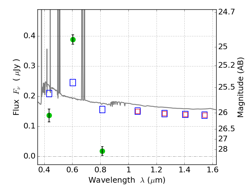
MACS0159-08 ACS+IR detection object #7112

Color images and BPZ results
Catalog: 7112.cat
Black segments are analyzed here.   Roll mouse over color images to view segments.
Best viewed in a wide browser window (1200 pixels or more).   Download SED & P(z) plots to view larger versions.
In P(z) plots: Yellow lines mark the cluster redshift z = 0.405,  

Object #7112   x,y = (3822, 1341)   RA, Dec = (01:59:44.976, -8:51:28.44) = (29.93740, -8.85790)   BPZ = 0.017 [0.010--0.035]   type = 11.00 (SB11_A_0_l)   stellarity = 0.94   chisq2 = 87.35   ODDS = 1.00   z_cluster = 0.405