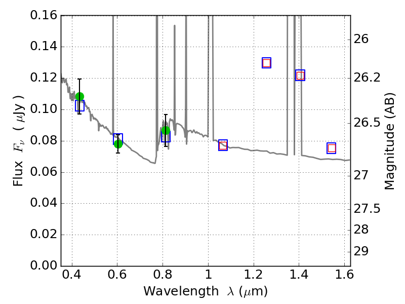
MACS0159-08 ACS+IR detection object #5717

Color images and BPZ results
Catalog: 5717.cat
Black segments are analyzed here.   Roll mouse over color images to view segments.
Best viewed in a wide browser window (1200 pixels or more).   Download SED & P(z) plots to view larger versions.
In P(z) plots: Yellow lines mark the cluster redshift z = 0.405,  

Object #5717   x,y = (1225, 2061)   RA, Dec = (01:59:55.488, -8:50:44.88) = (29.98120, -8.84580)   BPZ = 1.076 [0.690--2.397]   type = 11.00 (SB11_A_0_l)   stellarity = 0.18   chisq2 = 0.35   ODDS = 0.23   z_cluster = 0.405