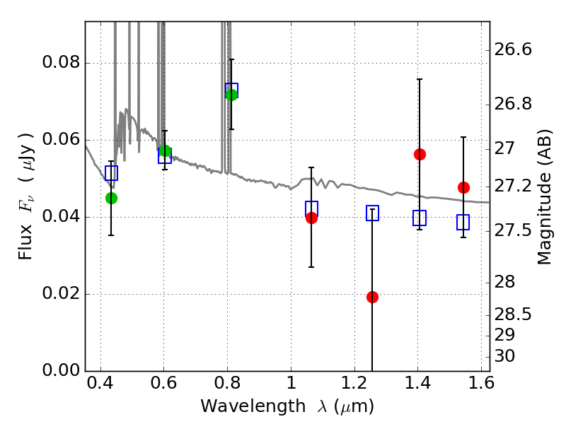
MACS0159-08 ACS+IR detection object #4889

Color images and BPZ results
Catalog: 4889.cat
Black segments are analyzed here.   Roll mouse over color images to view segments.
Best viewed in a wide browser window (1200 pixels or more).   Download SED & P(z) plots to view larger versions.
In P(z) plots: Yellow lines mark the cluster redshift z = 0.405,  

Object #4889   x,y = (3525, 2693)   RA, Dec = (01:59:46.176, -8:50:07.08) = (29.94240, -8.83530)   BPZ = 0.202 [0.101--3.313]   type = 11.00 (SB11_A_0_l)   stellarity = 0.00   chisq2 = 0.60   ODDS = 0.23   z_cluster = 0.405