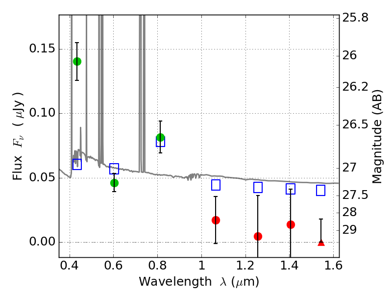
MACS0159-08 ACS+IR detection object #4555

Color images and BPZ results
Catalog: 4555.cat
Black segments are analyzed here.   Roll mouse over color images to view segments.
Best viewed in a wide browser window (1200 pixels or more).   Download SED & P(z) plots to view larger versions.
In P(z) plots: Yellow lines mark the cluster redshift z = 0.405,  

Object #4555   x,y = (2800, 2651)   RA, Dec = (01:59:49.104, -8:50:09.60) = (29.95460, -8.83600)   BPZ = 0.098 [0.087--2.480]   type = 11.00 (SB11_A_0_l)   stellarity = 0.00   chisq2 = 9.16   ODDS = 0.17   z_cluster = 0.405