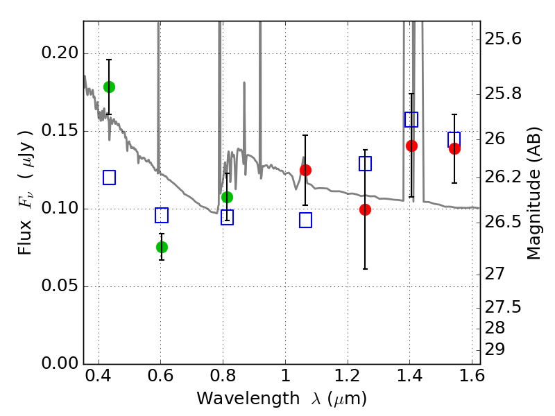
MACS0159-08 ACS+IR detection object #4422

Color images and BPZ results
Catalog: 4422.cat
Black segments are analyzed here.   Roll mouse over color images to view segments.
Best viewed in a wide browser window (1200 pixels or more).   Download SED & P(z) plots to view larger versions.
In P(z) plots: Yellow lines mark the cluster redshift z = 0.405,  

Object #4422   x,y = (3007, 2609)   RA, Dec = (01:59:48.288, -8:50:12.12) = (29.95120, -8.83670)   BPZ = 1.125 [0.913--2.111]   type = 11.00 (SB11_A_0_l)   stellarity = 0.00   chisq2 = 3.29   ODDS = 0.45   z_cluster = 0.405