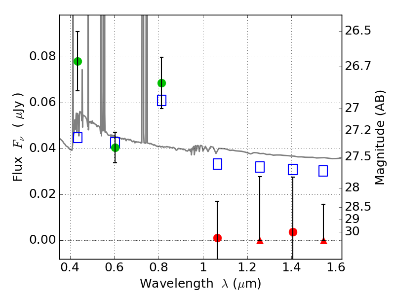
MACS0159-08 ACS+IR detection object #3949

Color images and BPZ results
Catalog: 3949.cat
Black segments are analyzed here.   Roll mouse over color images to view segments.
Best viewed in a wide browser window (1200 pixels or more).   Download SED & P(z) plots to view larger versions.
In P(z) plots: Yellow lines mark the cluster redshift z = 0.405,  

Object #3949   x,y = (2572, 2771)   RA, Dec = (01:59:50.040, -8:50:02.40) = (29.95850, -8.83400)   BPZ = 0.111 [0.078--2.635]   type = 11.00 (SB11_A_0_l)   stellarity = 0.00   chisq2 = 4.11   ODDS = 0.42   z_cluster = 0.405