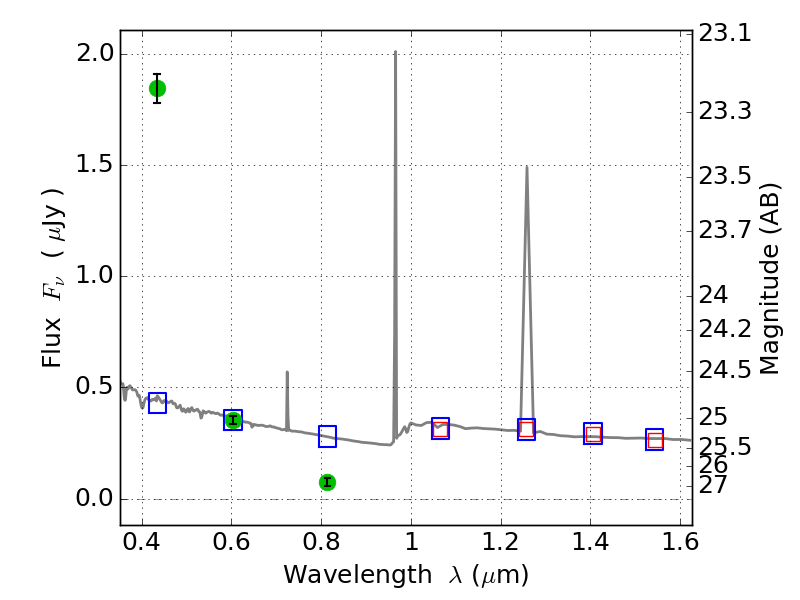
MACS0159-08 ACS+IR detection object #298

Color images and BPZ results
Catalog: 298.cat
Black segments are analyzed here.   Roll mouse over color images to view segments.
Best viewed in a wide browser window (1200 pixels or more).   Download SED & P(z) plots to view larger versions.
In P(z) plots: Yellow lines mark the cluster redshift z = 0.405,  

Object #298   x,y = (2377, 4918)   RA, Dec = (01:59:50.832, -8:47:53.52) = (29.96180, -8.79820)   BPZ = 1.593 [1.511--1.947]   type = 11.00 (SB11_A_0_l)   stellarity = 0.95   chisq2 = 447.80   ODDS = 0.84   z_cluster = 0.405