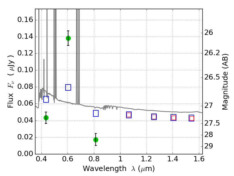
MACS0035-20 ACS+IR detection object #755

Color images and BPZ results
Catalog: 755.cat
Black segments are analyzed here.   Roll mouse over color images to view segments.
Best viewed in a wide browser window (1200 pixels or more).   Download SED & P(z) plots to view larger versions.
In P(z) plots: Yellow lines mark the cluster redshift z = 0.352,  

Object #755   x,y = (1830, 4327)   RA, Dec = (00:35:30.408, -20:14:04.92) = (8.87670, -20.23470)   BPZ = 0.020 [0.010--0.049]   type = 11.00 (SB11_A_0_l)   stellarity = 0.69   chisq2 = 51.53   ODDS = 1.00   z_cluster = 0.352