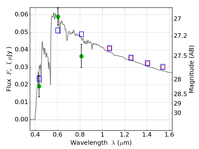
MACS0035-20 ACS+IR detection object #6737

Color images and BPZ results
Catalog: 6737.cat
Black segments are analyzed here.   Roll mouse over color images to view segments.
Best viewed in a wide browser window (1200 pixels or more).   Download SED & P(z) plots to view larger versions.
In P(z) plots: Yellow lines mark the cluster redshift z = 0.352,  

Object #6737   x,y = (2706, 1381)   RA, Dec = (00:35:26.664, -20:17:01.68) = (8.86110, -20.28380)   BPZ = 3.421 [0.371--3.647]   type = 11.00 (SB11_A_0_l)   stellarity = 0.27   chisq2 = 4.95   ODDS = 0.65   z_cluster = 0.352