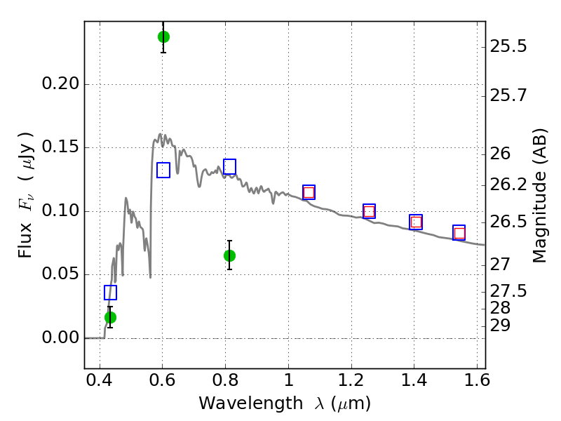
MACS0035-20 ACS+IR detection object #6593

Color images and BPZ results
Catalog: 6593.cat
Black segments are analyzed here.   Roll mouse over color images to view segments.
Best viewed in a wide browser window (1200 pixels or more).   Download SED & P(z) plots to view larger versions.
In P(z) plots: Yellow lines mark the cluster redshift z = 0.352,  

Object #6593   x,y = (3945, 1426)   RA, Dec = (00:35:21.384, -20:16:58.80) = (8.83910, -20.28300)   BPZ = 3.627 [3.520--3.724]   type = 11.00 (SB11_A_0_l)   stellarity = 0.87   chisq2 = 70.70   ODDS = 1.00   z_cluster = 0.352