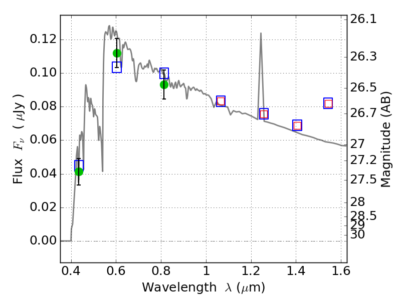
MACS0035-20 ACS+IR detection object #593

Color images and BPZ results
Catalog: 593.cat
Black segments are analyzed here.   Roll mouse over color images to view segments.
Best viewed in a wide browser window (1200 pixels or more).   Download SED & P(z) plots to view larger versions.
In P(z) plots: Yellow lines mark the cluster redshift z = 0.352,  

Object #593   x,y = (2109, 4428)   RA, Dec = (00:35:29.208, -20:13:58.80) = (8.87170, -20.23300)   BPZ = 3.449 [0.345--3.600]   type = 11.00 (SB11_A_0_l)   stellarity = 0.72   chisq2 = 1.09   ODDS = 0.78   z_cluster = 0.352