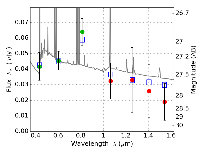
MACS0035-20 ACS+IR detection object #5722

Color images and BPZ results
Catalog: 5722.cat
Black segments are analyzed here.   Roll mouse over color images to view segments.
Best viewed in a wide browser window (1200 pixels or more).   Download SED & P(z) plots to view larger versions.
In P(z) plots: Yellow lines mark the cluster redshift z = 0.352,  

Object #5722   x,y = (2592, 2005)   RA, Dec = (00:35:27.144, -20:16:24.24) = (8.86310, -20.27340)   BPZ = 0.171 [0.084--2.973]   type = 10.80 (SB11_A_0_l - SB3_B10)   stellarity = 0.08   chisq2 = 0.32   ODDS = 0.41   z_cluster = 0.352