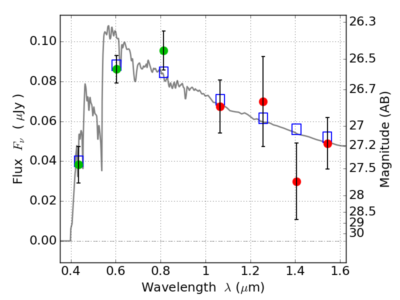
MACS0035-20 ACS+IR detection object #5690

Color images and BPZ results
Catalog: 5690.cat
Black segments are analyzed here.   Roll mouse over color images to view segments.
Best viewed in a wide browser window (1200 pixels or more).   Download SED & P(z) plots to view larger versions.
In P(z) plots: Yellow lines mark the cluster redshift z = 0.352,  

Object #5690   x,y = (2057, 2012)   RA, Dec = (00:35:29.424, -20:16:23.88) = (8.87260, -20.27330)   BPZ = 3.427 [0.250--3.656]   type = 11.00 (SB11_A_0_l)   stellarity = 0.00   chisq2 = 0.73   ODDS = 0.71   z_cluster = 0.352