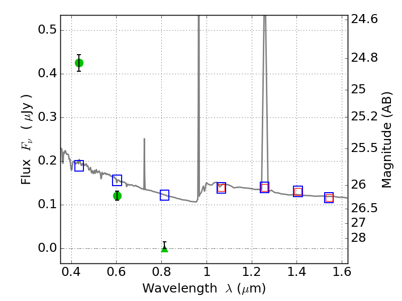
MACS0035-20 ACS+IR detection object #523

Color images and BPZ results
Catalog: 523.cat
Black segments are analyzed here.   Roll mouse over color images to view segments.
Best viewed in a wide browser window (1200 pixels or more).   Download SED & P(z) plots to view larger versions.
In P(z) plots: Yellow lines mark the cluster redshift z = 0.352,  

Object #523   x,y = (1538, 4484)   RA, Dec = (00:35:31.656, -20:13:55.56) = (8.88190, -20.23210)   BPZ = 1.592 [1.407--2.086]   type = 11.00 (SB11_A_0_l)   stellarity = 1.00   chisq2 = 146.80   ODDS = 0.63   z_cluster = 0.352