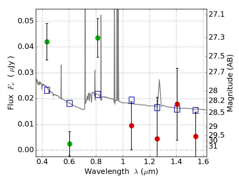
MACS0035-20 ACS+IR detection object #4463

Color images and BPZ results
Catalog: 4463.cat
Black segments are analyzed here.   Roll mouse over color images to view segments.
Best viewed in a wide browser window (1200 pixels or more).   Download SED & P(z) plots to view larger versions.
In P(z) plots: Yellow lines mark the cluster redshift z = 0.352,  

Object #4463   x,y = (2483, 2534)   RA, Dec = (00:35:27.624, -20:15:52.56) = (8.86510, -20.26460)   BPZ = 0.927 [0.099--2.471]   type = 11.00 (SB11_A_0_l)   stellarity = 0.00   chisq2 = 6.85   ODDS = 0.29   z_cluster = 0.352