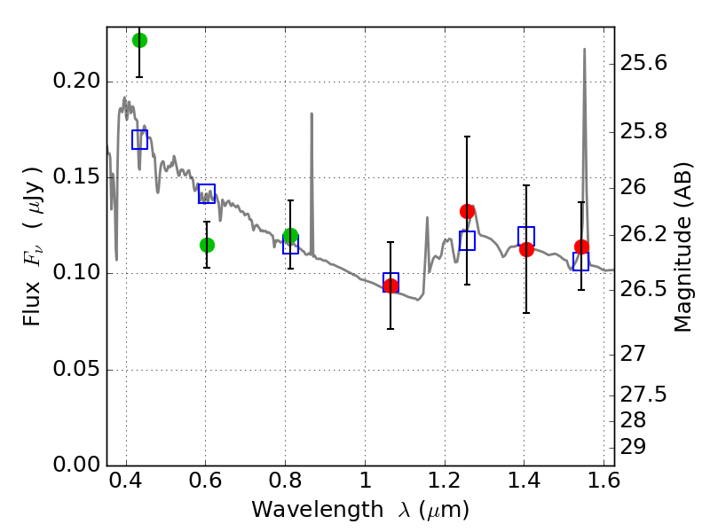
MACS0035-20 ACS+IR detection object #3516

Color images and BPZ results
Catalog: 3516.cat
Black segments are analyzed here.   Roll mouse over color images to view segments.
Best viewed in a wide browser window (1200 pixels or more).   Download SED & P(z) plots to view larger versions.
In P(z) plots: Yellow lines mark the cluster redshift z = 0.352,  

Object #3516   x,y = (2830, 2844)   RA, Dec = (00:35:26.136, -20:15:33.84) = (8.85890, -20.25940)   BPZ = 2.104 [1.083--2.388]   type = 10.90 (SB11_A_0_l - SB3_B10)   stellarity = 0.00   chisq2 = 2.08   ODDS = 0.34   z_cluster = 0.352