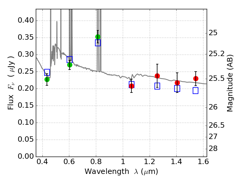
MACS0035-20 ACS+IR detection object #3079

Color images and BPZ results
Catalog: 3079.cat
Black segments are analyzed here.   Roll mouse over color images to view segments.
Best viewed in a wide browser window (1200 pixels or more).   Download SED & P(z) plots to view larger versions.
In P(z) plots: Yellow lines mark the cluster redshift z = 0.352,  

Object #3079   x,y = (2738, 3052)   RA, Dec = (00:35:26.544, -20:15:21.24) = (8.86060, -20.25590)   BPZ = 0.242 [0.151--0.336]   type = 11.00 (SB11_A_0_l)   stellarity = 0.31   chisq2 = 0.85   ODDS = 0.71   z_cluster = 0.352