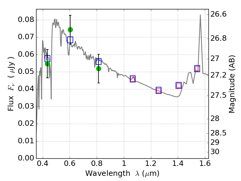
MACS0035-20 ACS+IR detection object #2100

Color images and BPZ results
Catalog: 2100.cat
Black segments are analyzed here.   Roll mouse over color images to view segments.
Best viewed in a wide browser window (1200 pixels or more).   Download SED & P(z) plots to view larger versions.
In P(z) plots: Yellow lines mark the cluster redshift z = 0.352,  

Object #2100   x,y = (4534, 3474)   RA, Dec = (00:35:18.864, -20:14:56.04) = (8.82860, -20.24890)   BPZ = 2.821 [0.083--3.133]   type = 11.00 (SB11_A_0_l)   stellarity = 0.02   chisq2 = 0.67   ODDS = 0.27   z_cluster = 0.352