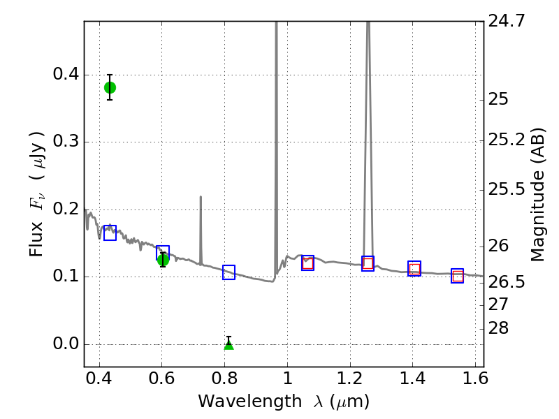
MACS0035-20 ACS+IR detection object #2013

Color images and BPZ results
Catalog: 2013.cat
Black segments are analyzed here.   Roll mouse over color images to view segments.
Best viewed in a wide browser window (1200 pixels or more).   Download SED & P(z) plots to view larger versions.
In P(z) plots: Yellow lines mark the cluster redshift z = 0.352,  

Object #2013   x,y = (1171, 3654)   RA, Dec = (00:35:33.216, -20:14:45.24) = (8.88840, -20.24590)   BPZ = 1.593 [1.458--2.054]   type = 11.00 (SB11_A_0_l)   stellarity = 1.00   chisq2 = 149.40   ODDS = 0.68   z_cluster = 0.352