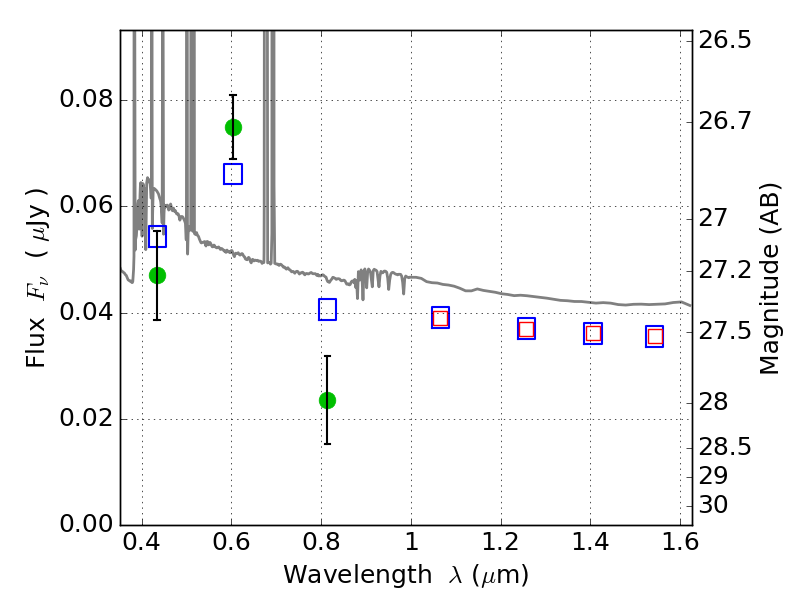
MACS0035-20 ACS+IR detection object #1751

Color images and BPZ results
Catalog: 1751.cat
Black segments are analyzed here.   Roll mouse over color images to view segments.
Best viewed in a wide browser window (1200 pixels or more).   Download SED & P(z) plots to view larger versions.
In P(z) plots: Yellow lines mark the cluster redshift z = 0.352,  

Object #1751   x,y = (3380, 3826)   RA, Dec = (00:35:23.784, -20:14:34.80) = (8.84910, -20.24300)   BPZ = 0.029 [0.014--3.098]   type = 11.00 (SB11_A_0_l)   stellarity = 0.00   chisq2 = 5.29   ODDS = 0.32   z_cluster = 0.352