MACS0035-20 ACS+IR detection object #1672

Color images and BPZ results
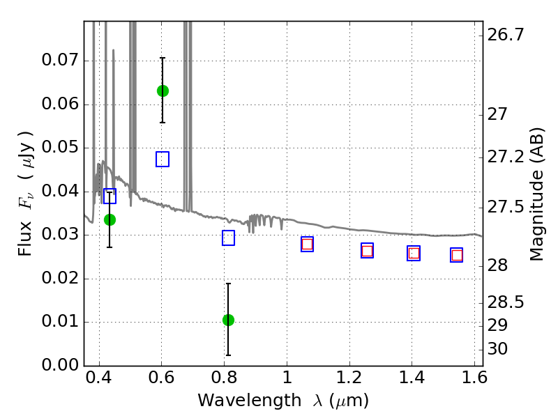
Catalog: 1672.cat
Black segments are analyzed here.   Roll mouse over color images to view segments.
Best viewed in a wide browser window (1200 pixels or more).   Download SED & P(z) plots to view larger versions.
In P(z) plots: Yellow lines mark the cluster redshift z = 0.352,  

Object #1672   x,y = (4464, 3710)   RA, Dec = (00:35:19.176, -20:14:42.00) = (8.82990, -20.24500)   BPZ = 0.032 [0.026--3.153]   type = 11.00 (SB11_A_0_l)   stellarity = 0.62   chisq2 = 8.98   ODDS = 0.08   z_cluster = 0.352