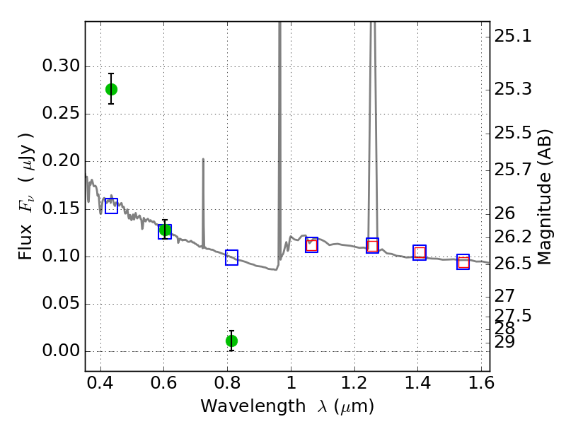
MACS0035-20 ACS+IR detection object #1590

Color images and BPZ results
Catalog: 1590.cat
Black segments are analyzed here.   Roll mouse over color images to view segments.
Best viewed in a wide browser window (1200 pixels or more).   Download SED & P(z) plots to view larger versions.
In P(z) plots: Yellow lines mark the cluster redshift z = 0.352,  

Object #1590   x,y = (1255, 3760)   RA, Dec = (00:35:32.856, -20:14:38.76) = (8.88690, -20.24410)   BPZ = 1.593 [1.451--2.099]   type = 11.00 (SB11_A_0_l)   stellarity = 0.99   chisq2 = 77.98   ODDS = 0.57   z_cluster = 0.352