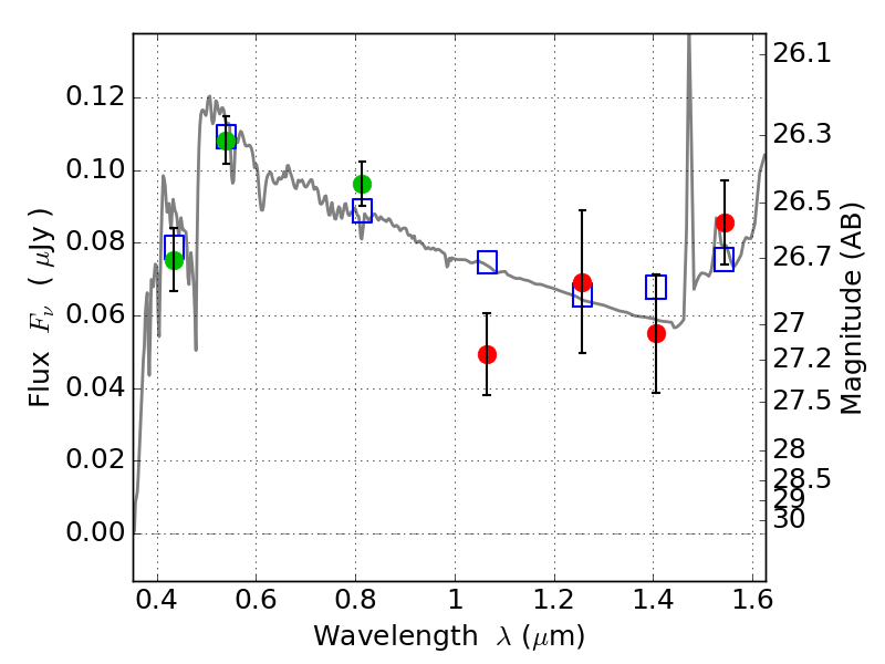
MACS0025-12 IR detection object #353

Color images and BPZ results
Catalog: 353.cat
Black segments are analyzed here.   Roll mouse over color images to view segments.
Best viewed in a wide browser window (1200 pixels or more).   Download SED & P(z) plots to view larger versions.
In P(z) plots: Yellow lines mark the cluster redshift z = 0.586,  

Object #353   x,y = (2002, 2902)   RA, Dec = (00:25:31.968, -12:22:30.36) = (6.38320, -12.37510)   BPZ = 2.947 [2.632--3.196]   type = 10.70 (SB11_A_0_l - SB3_B10)   stellarity = 0.83   chisq2 = 1.35   ODDS = 0.78   z_cluster = 0.586