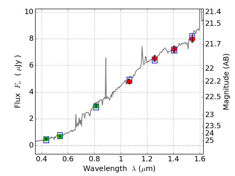
MACS0025-12 IR detection object #217

Color images and BPZ results
Catalog: 217.cat
Black segments are analyzed here.   Roll mouse over color images to view segments.
Best viewed in a wide browser window (1200 pixels or more).   Download SED & P(z) plots to view larger versions.
In P(z) plots: Yellow lines mark the cluster redshift z = 0.586,  

Object #217   x,y = (1574, 3086)   RA, Dec = (00:25:33.720, -12:22:19.20) = (6.39050, -12.37200)   BPZ = 0.773 [0.642--0.887]   type = 6.40 (Sbc_B10 - Scd_B10)   stellarity = 0.03   chisq2 = 0.05   ODDS = 0.78   z_cluster = 0.586