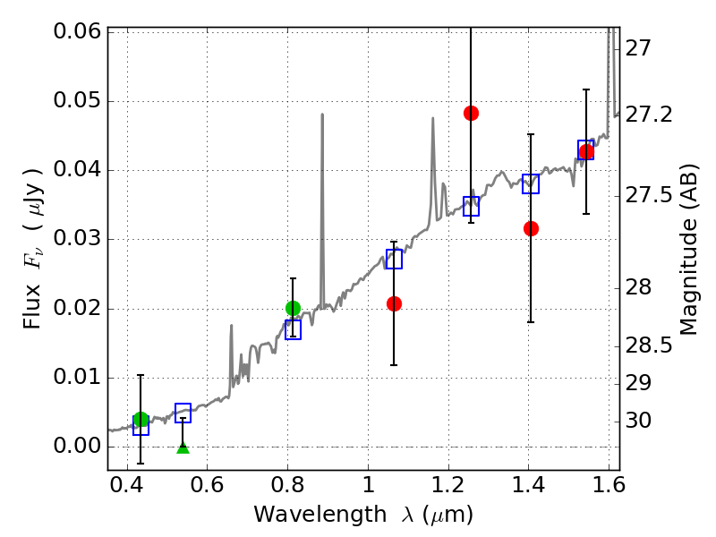
MACS0025-12 IR detection object #1151

Color images and BPZ results
Catalog: 1151.cat
Black segments are analyzed here.   Roll mouse over color images to view segments.
Best viewed in a wide browser window (1200 pixels or more).   Download SED & P(z) plots to view larger versions.
In P(z) plots: Yellow lines mark the cluster redshift z = 0.586,  

Object #1151   x,y = (2759, 1426)   RA, Dec = (00:25:28.848, -12:23:58.92) = (6.37020, -12.39970)   BPZ = 0.772 [0.365--5.584]   type = 6.70 (Scd_B10 - Sbc_B10)   stellarity = 0.64   chisq2 = 0.67   ODDS = 0.14   z_cluster = 0.586