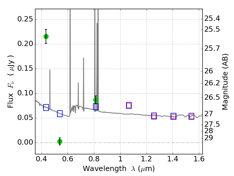
MACS0025-12 ACS+IR detection object #571

Color images and BPZ results
Catalog: 571.cat
Black segments are analyzed here.   Roll mouse over color images to view segments.
Best viewed in a wide browser window (1200 pixels or more).   Download SED & P(z) plots to view larger versions.
In P(z) plots: Yellow lines mark the cluster redshift z = 0.586,  

Object #571   x,y = (1724, 4046)   RA, Dec = (00:25:33.096, -12:21:21.60) = (6.38790, -12.35600)   BPZ = 0.656 [0.623--0.940]   type = 11.00 (SB11_A_0_l)   chisq2 = 133.03   ODDS = 0.74   z_cluster = 0.586