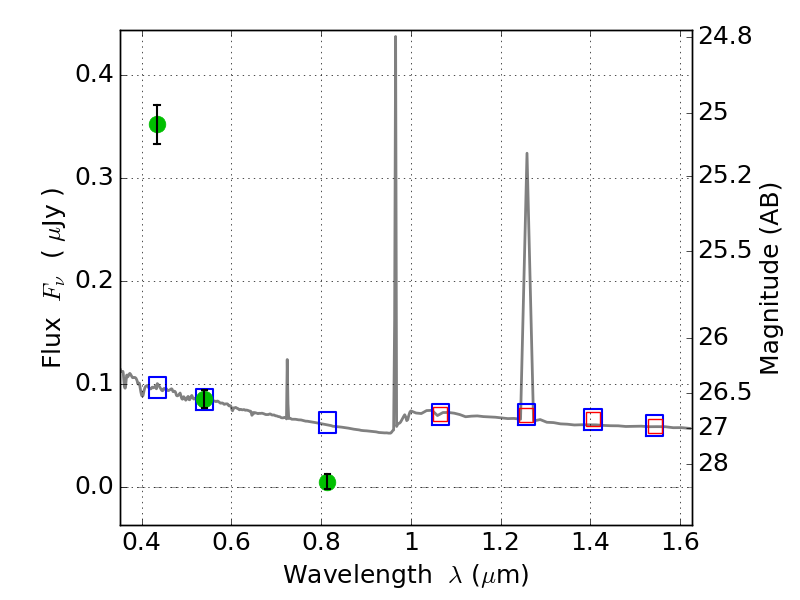
MACS0025-12 ACS+IR detection object #504

Color images and BPZ results
Catalog: 504.cat
Black segments are analyzed here.   Roll mouse over color images to view segments.
Best viewed in a wide browser window (1200 pixels or more).   Download SED & P(z) plots to view larger versions.
In P(z) plots: Yellow lines mark the cluster redshift z = 0.586,  

Object #504   x,y = (1824, 4114)   RA, Dec = (00:25:32.688, -12:21:17.64) = (6.38620, -12.35490)   BPZ = 1.593 [1.440--2.115]   type = 11.00 (SB11_A_0_l)   chisq2 = 196.16   ODDS = 0.53   z_cluster = 0.586