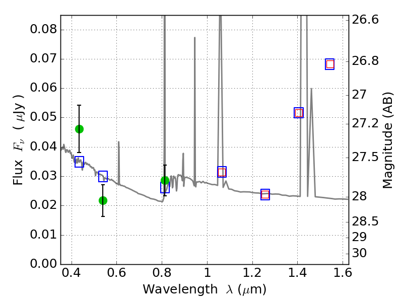
MACS0025-12 ACS+IR detection object #3087

Color images and BPZ results
Catalog: 3087.cat
Black segments are analyzed here.   Roll mouse over color images to view segments.
Best viewed in a wide browser window (1200 pixels or more).   Download SED & P(z) plots to view larger versions.
In P(z) plots: Yellow lines mark the cluster redshift z = 0.586,  

Object #3087   x,y = (791, 2286)   RA, Dec = (00:25:36.912, -12:23:07.08) = (6.40380, -12.38530)   BPZ = 1.178 [0.539--2.567]   type = 11.00 (SB11_A_0_l)   chisq2 = 2.93   ODDS = 0.11   z_cluster = 0.586