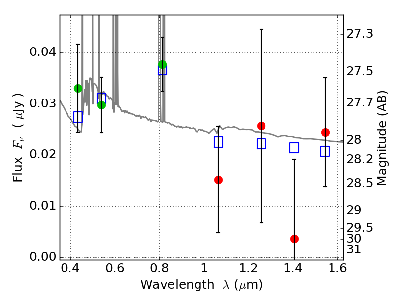
MACS0025-12 ACS+IR detection object #2639

Color images and BPZ results
Catalog: 2639.cat
Black segments are analyzed here.   Roll mouse over color images to view segments.
Best viewed in a wide browser window (1200 pixels or more).   Download SED & P(z) plots to view larger versions.
In P(z) plots: Yellow lines mark the cluster redshift z = 0.586,  

Object #2639   x,y = (3329, 2581)   RA, Dec = (00:25:26.520, -12:22:49.44) = (6.36050, -12.38040)   BPZ = 0.223 [0.083--3.290]   type = 11.00 (SB11_A_0_l)   chisq2 = 0.60   ODDS = 0.18   z_cluster = 0.586