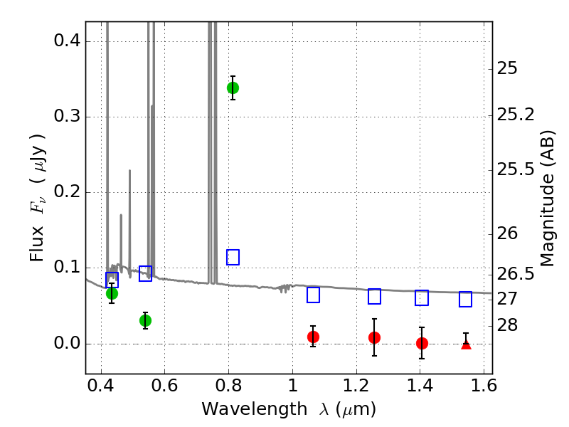
MACS0025-12 ACS+IR detection object #2096

Color images and BPZ results
Catalog: 2096.cat
Black segments are analyzed here.   Roll mouse over color images to view segments.
Best viewed in a wide browser window (1200 pixels or more).   Download SED & P(z) plots to view larger versions.
In P(z) plots: Yellow lines mark the cluster redshift z = 0.586,  

Object #2096   x,y = (3115, 2922)   RA, Dec = (00:25:27.408, -12:22:28.92) = (6.36420, -12.37470)   BPZ = 0.135 [0.097--0.195]   type = 11.00 (SB11_A_0_l)   chisq2 = 58.19   ODDS = 0.96   z_cluster = 0.586