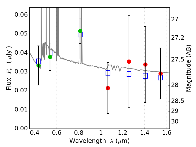
MACS0025-12 ACS+IR detection object #2044

Color images and BPZ results
Catalog: 2044.cat
Black segments are analyzed here.   Roll mouse over color images to view segments.
Best viewed in a wide browser window (1200 pixels or more).   Download SED & P(z) plots to view larger versions.
In P(z) plots: Yellow lines mark the cluster redshift z = 0.586,  

Object #2044   x,y = (2018, 2943)   RA, Dec = (00:25:31.896, -12:22:27.84) = (6.38290, -12.37440)   BPZ = 0.235 [0.095--3.468]   type = 11.00 (SB11_A_0_l)   chisq2 = 0.17   ODDS = 0.22   z_cluster = 0.586