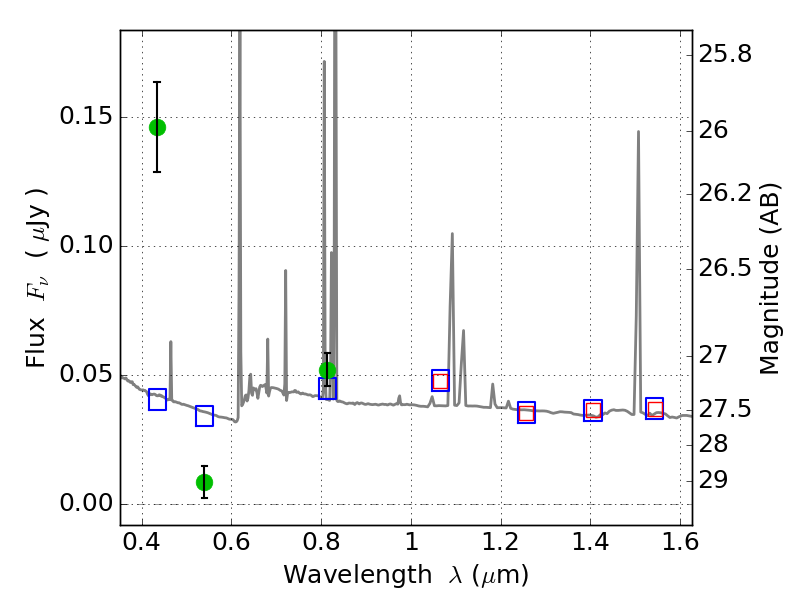
MACS0025-12 ACS+IR detection object #103

Color images and BPZ results
Catalog: 103.cat
Black segments are analyzed here.   Roll mouse over color images to view segments.
Best viewed in a wide browser window (1200 pixels or more).   Download SED & P(z) plots to view larger versions.
In P(z) plots: Yellow lines mark the cluster redshift z = 0.586,  

Object #103   x,y = (2746, 4730)   RA, Dec = (00:25:28.920, -12:20:40.56) = (6.37050, -12.34460)   BPZ = 0.656 [0.549--1.731]   type = 10.70 (SB11_A_0_l - SB3_B10)   chisq2 = 48.99   ODDS = 0.20   z_cluster = 0.586