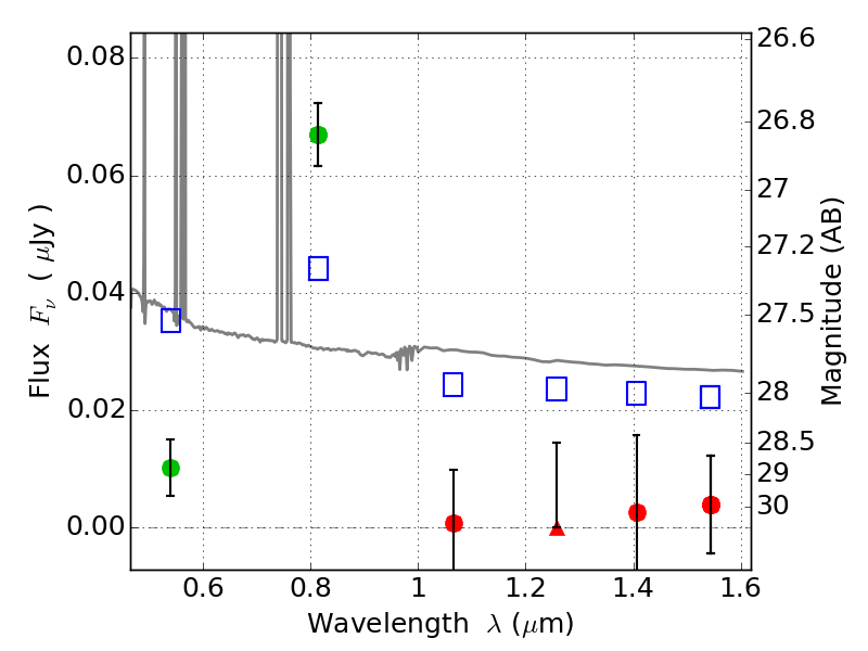
MACS0025-12 ACS+IR detection object #2099

Color images and BPZ results
Catalog: 2099.cat
Black segments are analyzed here.   Roll mouse over color images to view segments.
Best viewed in a wide browser window (1200 pixels or more).   Download SED & P(z) plots to view larger versions.
In P(z) plots: Yellow lines mark the cluster redshift z = 0.586,  

Object #2099   x,y = (2368, 2438)   RA, Dec = (00:25:30.456, -12:22:58.08) = (6.37690, -12.38280)   BPZ = 0.134 [0.109--4.741]   type = 11.00 (SB11_A_0_l)   chisq2 = 11.80   ODDS = 0.16   z_cluster = 0.586