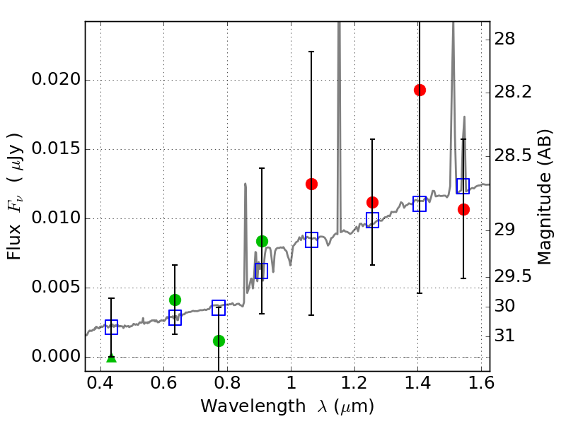
CL0152-13 IR detection object #55

Color images and BPZ results
Catalog: 55.cat
Black segments are analyzed here.   Roll mouse over color images to view segments.
Best viewed in a wide browser window (1200 pixels or more).   Download SED & P(z) plots to view larger versions.
In P(z) plots: Yellow lines mark the cluster redshift z = 0.833,  

Object #55   x,y = (4747, 3366)   RA, Dec = (01:52:42.624, -13:58:39.00) = (28.17760, -13.97750)   BPZ = 1.304 [0.369--6.408]   type = 8.00 (SB1_B10)   stellarity = 0.09   chisq2 = 0.44   ODDS = 0.11   z_cluster = 0.833