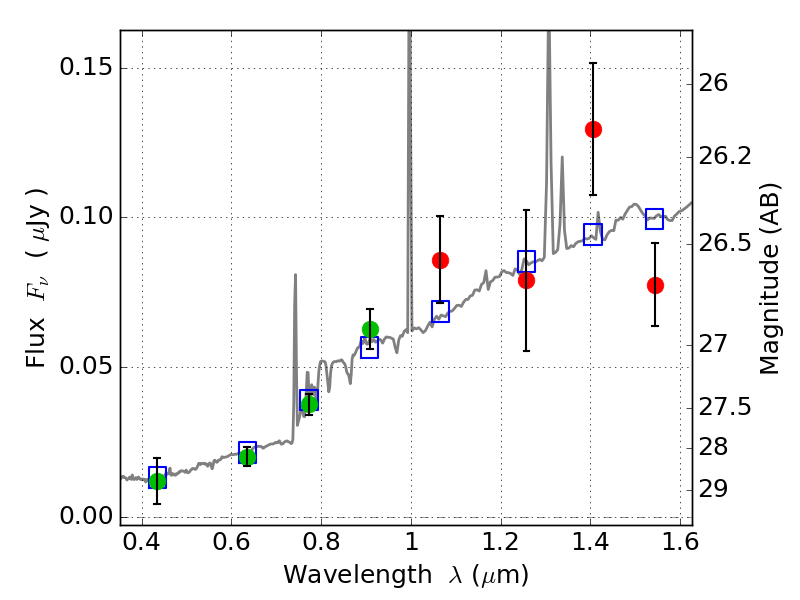
CL0152-13 IR detection object #236

Color images and BPZ results
Catalog: 236.cat
Black segments are analyzed here.   Roll mouse over color images to view segments.
Best viewed in a wide browser window (1200 pixels or more).   Download SED & P(z) plots to view larger versions.
In P(z) plots: Yellow lines mark the cluster redshift z = 0.833,  

Object #236   x,y = (5661, 3684)   RA, Dec = (01:52:38.856, -13:58:19.56) = (28.16190, -13.97210)   BPZ = 0.992 [0.485--1.187]   type = 7.60 (SB1_B10 - Scd_B10)   stellarity = 0.61   chisq2 = 1.24   ODDS = 0.47   z_cluster = 0.833