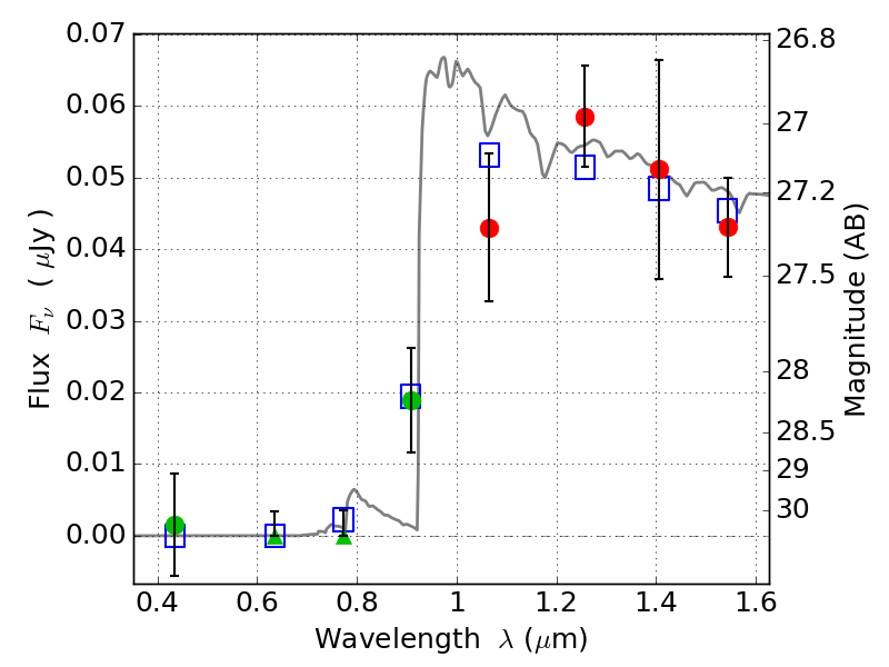
CL0152-13 IR detection object #191

Color images and BPZ results
Catalog: 191.cat
Black segments are analyzed here.   Roll mouse over color images to view segments.
Best viewed in a wide browser window (1200 pixels or more).   Download SED & P(z) plots to view larger versions.
In P(z) plots: Yellow lines mark the cluster redshift z = 0.833,  

Object #191   x,y = (5094, 3606)   RA, Dec = (01:52:41.184, -13:58:24.24) = (28.17160, -13.97340)   BPZ = 6.603 [6.026--7.262]   type = 10.90 (SB11_A_0_l - SB3_B10)   stellarity = 0.71   chisq2 = 0.40   ODDS = 0.69   z_cluster = 0.833