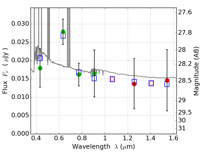
CL0152-13 ACS+IR detection object #12279

Color images and BPZ results
Catalog: 12279.cat
Black segments are analyzed here.   Roll mouse over color images to view segments.
Best viewed in a wide browser window (1200 pixels or more).   Download SED & P(z) plots to view larger versions.
In P(z) plots: Yellow lines mark the cluster redshift z = 0.833,  

Object #12279   x,y = (3405, 4814)   RA, Dec = (01:52:48.144, -13:57:11.88) = (28.20060, -13.95330)   BPZ = 0.033 [0.035--3.443]   type = 11.00 (SB11_A_0_l)   stellarity = 0.67   chisq2 = 0.13   ODDS = 0.04   z_cluster = 0.833