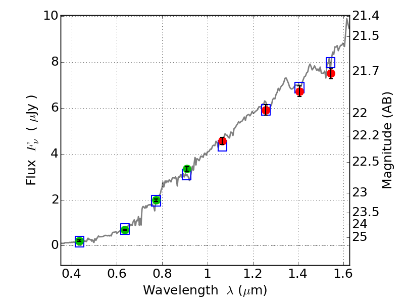
CL0152-13 IR detection object #971

Color images and BPZ results
Catalog: 971.cat
Black segments are analyzed here.   Roll mouse over color images to view segments.
Best viewed in a wide browser window (1200 pixels or more).   Download SED & P(z) plots to view larger versions.
In P(z) plots: Yellow lines mark the cluster redshift z = 0.833,  

Object #971   x,y = (4603, 5432)   RA, Dec = (01:52:43.224, -13:56:34.80) = (28.18010, -13.94300)   BPZ = 0.781 [0.734--0.858]   type = 5.50 (Sbc_B10 - ES0_B10)   chisq2 = 0.22   ODDS = 0.96   z_cluster = 0.833