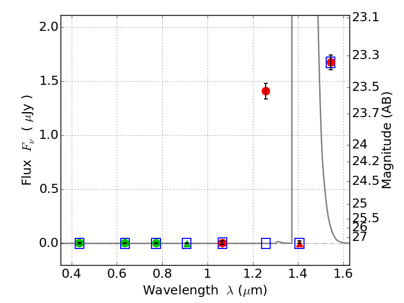
CL0152-13 IR detection object #949

Color images and BPZ results
Catalog: 949.cat
Black segments are analyzed here.   Roll mouse over color images to view segments.
Best viewed in a wide browser window (1200 pixels or more).   Download SED & P(z) plots to view larger versions.
In P(z) plots: Yellow lines mark the cluster redshift z = 0.833,  

Object #949   x,y = (4781, 5400)   RA, Dec = (01:52:42.480, -13:56:36.60) = (28.17700, -13.94350)   BPZ = 12.392 [12.266--12.976]   type = 9.00 (SB2_B10)   chisq2 = 21.98   ODDS = 0.92   z_cluster = 0.833