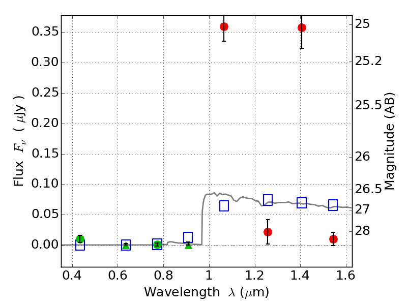
CL0152-13 IR detection object #864

Color images and BPZ results
Catalog: 864.cat
Black segments are analyzed here.   Roll mouse over color images to view segments.
Best viewed in a wide browser window (1200 pixels or more).   Download SED & P(z) plots to view larger versions.
In P(z) plots: Yellow lines mark the cluster redshift z = 0.833,  

Object #864   x,y = (3836, 3901)   RA, Dec = (01:52:46.392, -13:58:06.60) = (28.19330, -13.96850)   BPZ = 6.968 [6.747--7.225]   type = 11.00 (SB11_A_0_l)   chisq2 = 48.17   ODDS = 0.99   z_cluster = 0.833