CL0152-13 IR detection object #859

Color images and BPZ results
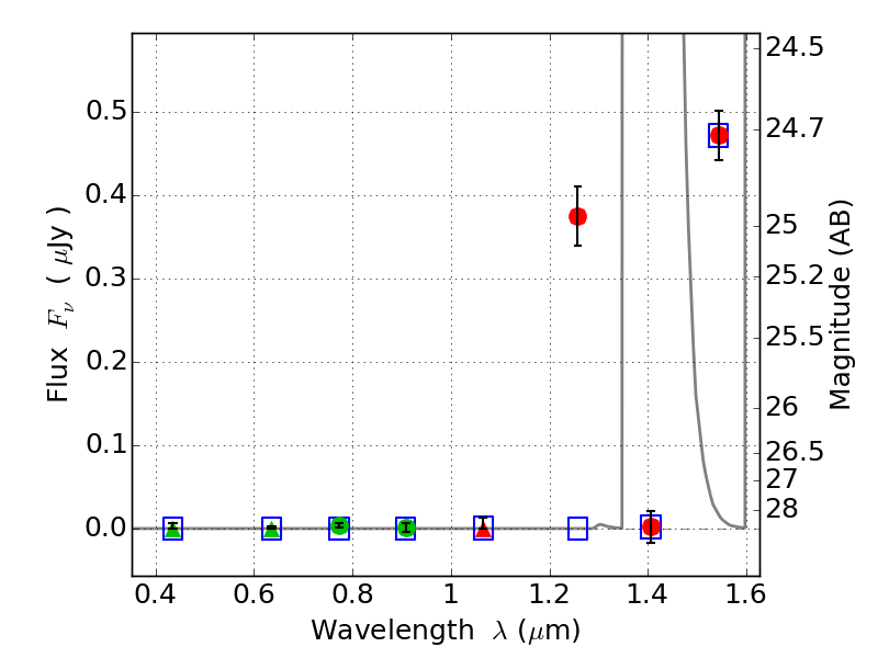
Catalog: 859.cat
Black segments are analyzed here.   Roll mouse over color images to view segments.
Best viewed in a wide browser window (1200 pixels or more).   Download SED & P(z) plots to view larger versions.
In P(z) plots: Yellow lines mark the cluster redshift z = 0.833,  

Object #859   x,y = (3826, 3909)   RA, Dec = (01:52:46.416, -13:58:06.24) = (28.19340, -13.96840)   BPZ = 12.300 [12.021--12.964]   type = 10.60 (SB11_A_0_l - SB3_B10)   chisq2 = 12.49   ODDS = 0.87   z_cluster = 0.833