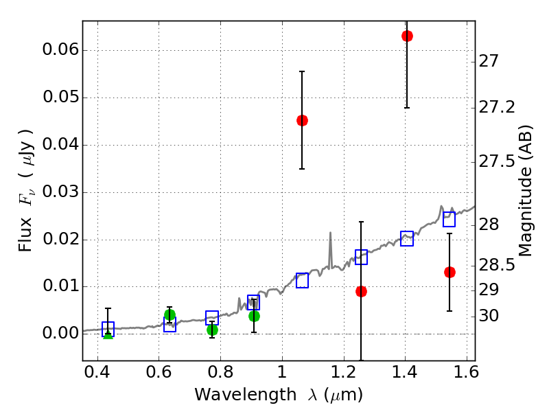
CL0152-13 IR detection object #791

Color images and BPZ results
Catalog: 791.cat
Black segments are analyzed here.   Roll mouse over color images to view segments.
Best viewed in a wide browser window (1200 pixels or more).   Download SED & P(z) plots to view larger versions.
In P(z) plots: Yellow lines mark the cluster redshift z = 0.833,  

Object #791   x,y = (4317, 4068)   RA, Dec = (01:52:44.400, -13:57:56.88) = (28.18500, -13.96580)   BPZ = 1.311 [0.624--7.250]   type = 6.20 (Sbc_B10 - Scd_B10)   chisq2 = 4.53   ODDS = 0.15   z_cluster = 0.833